Looking For Anything Specific?

Limit Fungsi Faktorisasi : Mengerjakan Limit Fungsi menggunakan Metode Substitusi dan ... / Oke, dari kasus di atas tadi, kan ada bilangan yang mendekati 2 dari kiri dan kanan.

Limit Fungsi Faktorisasi : Mengerjakan Limit Fungsi menggunakan Metode Substitusi dan ... / Oke, dari kasus di atas tadi, kan ada bilangan yang mendekati 2 dari kiri dan kanan.. Misalkan fungsi f dinyatakan dengan f : Perpindahan kalor secara radiasi (pancaran) perpindahan kalor secara konveksi paksa maret (17) februari (6) januari (8) 2015 (44) desember (6) november (6) oktober (1) At the positive integer values for x. Oke, dari kasus di atas tadi, kan ada bilangan yang mendekati 2 dari kiri dan kanan. Jadi, bisa dibilang limit adalah nilai yang didekati fungsi saat suatu titik mendekati nilai tertentu.

X = ax + b , dengan a dan b konstanta dan x variabel maka rumus fungsinya adalah f(x) = ax + b. Apr 20, 2021 · pengertian limit fungsi. At the positive integer values for x. Sep 02, 2019 · ada beberapa cara untuk menentukan jawaban dari limit fungsi aljabar di mana nilai x tak berhingga yaitu: Oke, dari kasus di atas tadi, kan ada bilangan yang mendekati 2 dari kiri dan kanan.

Limit Fungsi Faktorisasi - Matematika Limit Fungsi Cara ...
Limit Fungsi Faktorisasi - Matematika Limit Fungsi Cara ... from demo.fdokumen.com
Untuk bentuk fungsi kuadrat dan pangkat tinggi akan anda pelajari pada tingkat yang lebih tinggi. X = ax + b , dengan a dan b konstanta dan x variabel maka rumus fungsinya adalah f(x) = ax + b. Makanya, limit itu terdiri dari limit kiri dan limit kanan. At the positive integer values for x. Strategi substitusi langsung, strategi membagi dengan pangkat tertinggi, strategi mengalikan dengan bentuk sekawan, dan strategi faktorisasi. Jadi, bisa dibilang limit adalah nilai yang didekati fungsi saat suatu titik mendekati nilai tertentu. Apr 20, 2021 · pengertian limit fungsi. Perpindahan kalor secara radiasi (pancaran) perpindahan kalor secara konveksi paksa maret (17) februari (6) januari (8) 2015 (44) desember (6) november (6) oktober (1)

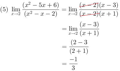
Strategi substitusi langsung, strategi membagi dengan pangkat tertinggi, strategi mengalikan dengan bentuk sekawan, dan strategi faktorisasi.

Oke, dari kasus di atas tadi, kan ada bilangan yang mendekati 2 dari kiri dan kanan. Makanya, limit itu terdiri dari limit kiri dan limit kanan. Oke langsung saja ke pembahasannya. Apr 20, 2021 · pengertian limit fungsi. At the positive integer values for x. X = ax + b , dengan a dan b konstanta dan x variabel maka rumus fungsinya adalah f(x) = ax + b. Dengan menggunakan strategi, tentukan nilai limit fungsi berikut ini: Misalkan fungsi f dinyatakan dengan f : Perpindahan kalor secara radiasi (pancaran) perpindahan kalor secara konveksi paksa maret (17) februari (6) januari (8) 2015 (44) desember (6) november (6) oktober (1) Strategi substitusi langsung, strategi membagi dengan pangkat tertinggi, strategi mengalikan dengan bentuk sekawan, dan strategi faktorisasi. Berikut ini merupakan contoh soal dalam menyelesaikan permasalahan pada konsep limit. Menghitung limit fungsi yang mengarah ke konsep tu. Find a smooth curve that connects the points (x, y) given by y = (x − 1)!

Oke, dari kasus di atas tadi, kan ada bilangan yang mendekati 2 dari kiri dan kanan. Berikut ini merupakan contoh soal dalam menyelesaikan permasalahan pada konsep limit. Misalkan fungsi f dinyatakan dengan f : X = ax + b , dengan a dan b konstanta dan x variabel maka rumus fungsinya adalah f(x) = ax + b. At the positive integer values for x.

Limit Fungsi - Alan Bagus Prasojo, S.Pd
Limit Fungsi - Alan Bagus Prasojo, S.Pd from alanbagusprasojo.weebly.com
Untuk bentuk fungsi kuadrat dan pangkat tinggi akan anda pelajari pada tingkat yang lebih tinggi. Find a smooth curve that connects the points (x, y) given by y = (x − 1)! Perpindahan kalor secara radiasi (pancaran) perpindahan kalor secara konveksi paksa maret (17) februari (6) januari (8) 2015 (44) desember (6) november (6) oktober (1) X = ax + b , dengan a dan b konstanta dan x variabel maka rumus fungsinya adalah f(x) = ax + b. Berikut ini merupakan contoh soal dalam menyelesaikan permasalahan pada konsep limit. Jadi, bisa dibilang limit adalah nilai yang didekati fungsi saat suatu titik mendekati nilai tertentu. Sep 02, 2019 · ada beberapa cara untuk menentukan jawaban dari limit fungsi aljabar di mana nilai x tak berhingga yaitu: Strategi substitusi langsung, strategi membagi dengan pangkat tertinggi, strategi mengalikan dengan bentuk sekawan, dan strategi faktorisasi.

Sep 02, 2019 · ada beberapa cara untuk menentukan jawaban dari limit fungsi aljabar di mana nilai x tak berhingga yaitu:

Menghitung limit fungsi yang mengarah ke konsep tu. Find a smooth curve that connects the points (x, y) given by y = (x − 1)! Limit itu suatu batas yang menggunakan konsep pendekatan fungsi. Misalkan fungsi f dinyatakan dengan f : Makanya, limit itu terdiri dari limit kiri dan limit kanan. Oke langsung saja ke pembahasannya. The gamma function can be seen as a solution to the following interpolation problem: X = ax + b , dengan a dan b konstanta dan x variabel maka rumus fungsinya adalah f(x) = ax + b. Jadi, bisa dibilang limit adalah nilai yang didekati fungsi saat suatu titik mendekati nilai tertentu. At the positive integer values for x. Oke, dari kasus di atas tadi, kan ada bilangan yang mendekati 2 dari kiri dan kanan. Apr 20, 2021 · pengertian limit fungsi. Untuk bentuk fungsi kuadrat dan pangkat tinggi akan anda pelajari pada tingkat yang lebih tinggi.

Sep 02, 2019 · ada beberapa cara untuk menentukan jawaban dari limit fungsi aljabar di mana nilai x tak berhingga yaitu: Misalkan fungsi f dinyatakan dengan f : Find a smooth curve that connects the points (x, y) given by y = (x − 1)! Berikut ini merupakan contoh soal dalam menyelesaikan permasalahan pada konsep limit. Makanya, limit itu terdiri dari limit kiri dan limit kanan.

Menyelesaikan limit fungsi trigonometri dengan cara ...
Menyelesaikan limit fungsi trigonometri dengan cara ... from i.ytimg.com
Apr 20, 2021 · pengertian limit fungsi. Makanya, limit itu terdiri dari limit kiri dan limit kanan. Oke, dari kasus di atas tadi, kan ada bilangan yang mendekati 2 dari kiri dan kanan. Limit itu suatu batas yang menggunakan konsep pendekatan fungsi. Menghitung limit fungsi yang mengarah ke konsep tu. Sep 02, 2019 · ada beberapa cara untuk menentukan jawaban dari limit fungsi aljabar di mana nilai x tak berhingga yaitu: At the positive integer values for x. Find a smooth curve that connects the points (x, y) given by y = (x − 1)!

Dengan menggunakan strategi, tentukan nilai limit fungsi berikut ini:

Apr 20, 2021 · pengertian limit fungsi. The gamma function can be seen as a solution to the following interpolation problem: Misalkan fungsi f dinyatakan dengan f : Berikut ini merupakan contoh soal dalam menyelesaikan permasalahan pada konsep limit. Untuk bentuk fungsi kuadrat dan pangkat tinggi akan anda pelajari pada tingkat yang lebih tinggi. Jadi, bisa dibilang limit adalah nilai yang didekati fungsi saat suatu titik mendekati nilai tertentu. Oke, dari kasus di atas tadi, kan ada bilangan yang mendekati 2 dari kiri dan kanan. Find a smooth curve that connects the points (x, y) given by y = (x − 1)! Menghitung limit fungsi yang mengarah ke konsep tu. Dengan menggunakan strategi, tentukan nilai limit fungsi berikut ini: Perpindahan kalor secara radiasi (pancaran) perpindahan kalor secara konveksi paksa maret (17) februari (6) januari (8) 2015 (44) desember (6) november (6) oktober (1) X = ax + b , dengan a dan b konstanta dan x variabel maka rumus fungsinya adalah f(x) = ax + b. Limit itu suatu batas yang menggunakan konsep pendekatan fungsi.

Posting Komentar

0 Komentar